Introduction
As a freelancer, you often sign contracts that run for several months or even years. Meanwhile, your costs increase —whether it’s living expenses, social contributions, or even the tools you use. How can you prevent shrinking margins without new negotiations?
The answer: an indexation clause in your contract.
In this blog, we’ll explain what indexation is, what the law says about it, and how you can include a solid clause in your agreements. This way, your work remains sustainably profitable.
What is indexation or price adjustment?
An indexation clause (also called a price adjustment clause) is a provision in your contract that ensures your price or rate is automatically adjusted based on objective parameters (such as labour costs or material prices). The idea: your price evolves in line with your real costs.
Legal rules
Under Belgian law (Article 57, Law of March 30, 1976), there are clear requirements:
- ❌ Forbidden: linking to the consumer price index (CPI) or any other general index is in principle not allowed.
- ✅ Required: your price must be split in a fixed part (at least 20%) and a variable part (maximum 80%). Only the variable part may be adjusted.
- ✅ Real costs: the chosen parameter must reflect your cost structure. For freelancers, labour costs are in any case a logical choice.
These rules are not applicable to the fees relating to services rendered by members of the liberal professions. These requirements shall likewise not apply to agreements containing a foreign element, except where they concern services to be performed in Belgium and are concluded by persons residing in Belgium.
Practical tips for freelancers
Here’s how to write a strong indexation clause:
- Choose the right parameter
If you are working in IT, you could for instance link the indexation to the Agoria Index Digital. This shows your rate increase is objective and sector-relevant.
In certain situations it may be easier to just increase with a fixed percentage, e.g. 3% per year.
- Define the frequency
Annual adjustments (e.g., every January 1) are common. With high inflation, semi-annual adjustments might be better. - Use a clear formula in the contract
This avoids disputes. If you prefer, you can even add an example in the contract.
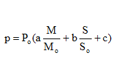
The formula could be as follows:

where:
p = Invoice price
Po = Initial base price at the date of ………
Mo = Price of ……… (raw material to be defined) at the date of ……… (as published), i.e. €……….
M = Value of the same material on the date of ……… (that corresponding to the supply or invoicing)
So = the reference labour cost index for companies in the digital sector, recognized by the Federal Public Service Economy, SMEs, Self-employed and Energy and published by Agoria on ……… (date)
S = same salary at ……… (such date) (period of execution of the order or invoice date)
a – b – c = are replaced by the values of the coefficients
Conclusion
Indexation clauses are just one of many contract details that can have a big impact on your freelance business. Making sure your agreements are watertight and tailored to your situation is key if you want to avoid disputes and keep your work profitable.
About the author
Eveline Van den Abeele is a commercial legal expert at Rechtaan. With more than 15 years of experience and services tailored to freelancers, she assists with everything from drafting and reviewing contracts to setting up terms & conditions, privacy policies, and collaboration agreements.
If you want peace of mind around your contracts and the confidence that your legal bases are covered, get in touch with Eveline directly at info@rechtaan.be or via her website.
